News · Forschungsergebnis

Landnutzung: Plädoyer für einen gerechten Artenschutz

Natur und Landwirtschaft: Eine Studie mit Beteiligung des KIT beleuchtet den Zielkonflikt zwischen Ernährungssicherheit und Biodiversität. Foto: Markus Breig, KIT

Große Landflächen radikal für Tiere und Pflanzen reservieren – das könnte die Menschheit in den nächsten Jahrzehnten vor einem Kollaps der Artenvielfalt bewahren. Doch in einigen Ländern, insbesondere des globalen Südens, könnte das die Versorgung mit Nahrungsmitteln gefährden. Auf diesen Zielkonflikt machen jetzt Forschende des Karlsruher Instituts für Technologie (KIT) gemeinsam mit Partnern aus Großbritannien und Österreich in einer Studie in der Fachzeitschrift Nature Sustainability aufmerksam und plädieren für ein umsichtiges Vorgehen.

Quelle: KIT

Weiterlesen
News · Forschungsergebnis

Intensität der Landnutzung gefährdet Biodiversität weltweit

Land- und Forstwirtschaft sowie Infrastruktur beeinflussen, verändern oder zerstören natürliche Lebensräume. Konsequenzen für die Biodiversität werden meist auf Basis der durch Landnutzung beanspruchten Fläche berechnet. Aber auch die Intensität der Nutzung spielt eine Rolle, zeigt eine neue Studie von Philipp Semenchuk vom Department für Botanik und Biodiversitätsforschung der Universität Wien, der Universität für Bodenkultur Wien und des Senckenberg Biodiversität und Klima Forschungszentrums Frankfurt. Die Gefährdung von Landwirbeltieren lässt sich zu etwa 25 Prozent auf die Intensität der Nutzung zurückführen. Ergebnisse der vom Wiener Wissenschafts-, Forschungs- und Technologiefonds (WWTF) geförderten Studie erscheinen nun im Fachjournal Nature Communications.

Quelle: Uni Wien

Weiterlesen
News · Forschungsergebnis

Chemische Abwehr gegen saugende Zikaden entschlüsselt

Blattzikade der Gattung Empoasca. Foto: Danny Kessler, MPI für chemische Ökologie

Wie sich der Koyotentabak (Nicotiana attenuata) vor saugenden Blattzikaden (Empoasca) schützt, schildern Forschende um Ian Baldwin vom Max-Planck-Institut für chemische Ökologie in Jena in einer neuen Studie in der Zeitschrift Science. Den neuen Mechanismus entschlüsselten sie durch die Verknüpfung ausgefeilter molekularbiologischer und chemisch-analytischer Methoden. Damit identifizierten sie nicht nur einen bislang unbekannten Abwehrstoff, sondern beschreiben auch auch die Gene, die für seine Bildung verantwortlich sind. „Man kann unser Vorgehen als 'naturgeschichtlich geleitete Vorwärtsgenetik' bezeichnen," sagt Baldwin. "Die Naturgeschichte und die Beobachtung des Fressverhaltens der Zikaden hat den Entdeckungsprozess vorangetrieben. Denn wenn es um Chemie geht, bleibt die Natur die beste Erfinderin."

Quelle: MPI für chemische Ökologie

Weiterlesen
News · Forschungsergebnis

Was Carotinoide mit Pflanzenertrag und Toleranz zu tun haben

Vergleich des Wildtpys (links) mit LCYB-exprimierenden Tomaten (rechts). Foto: Juan C. Moreno

In einer in der Fachzeitschrift Metabolic Engineering veröffentlichten Studie zeigt ein internationales Forschungsteam unter der Leitung von Dr. Juan C. Moreno vom Max-Planck-Institut für Molekulare Pflanzenphysiologie (MPI-MP), wie sich Veränderungen im Carotinoid-Stoffwechsel auf die Biomasse-Produktion und die Anpassung an veränderte Umweltbedingungen (Fitness) bei Pflanzen auswirken. Die Einführung eines einzelnen Gens des Carotinoid-Biosyntheseweges (LCYB) in verschiedene Tomatensorten, tiefgreifende Veränderungen in den Carotinoid-, Apocarotinoid- und Phytohormon-Biosynthesewegen hervorrufen. Tatsächlich konnte auf diese Weise die Biomasseverteilung und die abiotische Stresstoleranz (Licht-, Salz- und Trockenheitstoleranz) beeinflusst werden. Die Stoffwechselveränderungen führten zu einer Steigerung des Fruchtertrages um bis zu 77 % und zu einer 20-fachen Erhöhung des Provitamin-A-Gehaltes in den Früchten. „Die Ergebnisse aus unserer Studie ebnen den Weg für die Entwicklung einer neuen Generation von Nutzpflanzen, die eine hohe Produktivität mit einer verbesserten Nährstoffzusammensetzung auf sich vereinen und zudem besser mit den durch den Klimawandel verursachten Umweltveränderungen zurechtkommen“, sagt Dr. Moreno.

Quelle: MPI-MP

Weiterlesen
News · Förderung

Neues Doktoranden-Kolleg: Proteome, die die Welt ernähren

Tomatenkerne werden auf einen Nährboden gelegt für wissenschaftliche Versuche. Foto: Uli Benz, TUM

Das Elitenetzwerk Bayern, eine Initiative des Freistaates Bayern, fördert ein Internationales Kolleg für Doktorand*innen an der Technischen Universität München (TUM) mit insgesamt 3,3 Millionen Euro. Die Forschungen der Doktorandinnen und Doktoranden sollen das molekulare Verständnis von Kulturpflanzen verbessern. Ziel ist die Kartierung der Proteome der 100 weltweit wichtigsten Nutzpflanzen. Darüber hinaus werden sich die Promovierenden beispielsweise mit der Verbesserung des Ertrags und mit den Wechselwirkungen der Pflanzen mit Insekten, Mikroben, Boden und Klima befassen. Außerdem soll untersucht werden, wie die Proteome von Kulturpflanzen auf Stressoren, wie Krankheitserreger und Schädlinge, reagieren und wie sie mit Hitze und Trockenheit umgehen, die durch den Klimawandel verstärkt werden. Damit leisten die Promovierenden einen wichtigen Beitrag zur globalen Herausforderung, trotz fortschreitendem Klimawandel genug Nährstoffe für eine wachsende Weltbevölkerung bereit stellen zu können.

Quelle: TUM

Weiterlesen
News · Forschungsorte

Lebendes Fossil setzt Zapfen an

Der beinahe zwei Meter große Gärtner Tobias Rönsch ist unter anderem für das Südafrikahaus im Botanischen Garten zuständig. Hier steht er neben einem weiblichen Brotpalmenfarn, der 2022 drei 50 Zentimeter große Zapfen ausgebildet hat. Foto: Sabine Etges, HHU

Mehr als 250 Millionen Jahre alt und überaus selten: Unter anderem im Südafrikahaus im Botanischen Garten der Heinrich-Heine-Universität Düsseldorf (HHU) wachsen mehrere Brotpalmfarne aus der Gruppe der Cycadeen. Diese haben nun beeindruckend große Zapfen ausgebildet, in denen später die Samen reifen werden: Wenn die Zapfen aufplatzen, wird sich ein farbenprächtiges Bild bieten.

Quelle: HHU

Weiterlesen
News · Forschungsergebnis

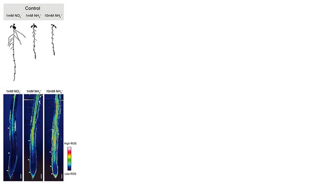
Schutzmechanismus gegen negative Folgen der Ammonium-Düngung identifiziert

Verkürztes Wurzelwachstum von Ammonium-ernährten Arabidopsis-Pflanzen (oben) und Nachweis reaktiver Sauerstoffspezies durch Fluoreszenzfärbung (unten). Abbildung: IPK Leibniz-Institut

Obwohl Ammonium eine wichtige anorganische Stickstoffquelle für Pflanzen ist, wirken hohen Konzentrationen toxisch und können das Wurzelwachstum bereits in einem frühen Stadium hemmen. Ein internationales Forschungsteam unter Federführung des Leibniz-Instituts für Pflanzengenetik und Kulturpflanzenforschung (IPK) hat nunmehr einen pflanzlichen Schutzmechanismus rund um das Vitamin B6 identifiziert, mit dem Pflanzen die negativen Begleiterscheinungen der Ammonium-Zufuhr umgehen können. Die Ergebnisse hat das Team im Magazin Molecular Plant veröffentlicht.

Quelle: IPK Leibniz-Institut (pdf)

Weiterlesen
News · Forschungsergebnis

Neue Schätzung der Anzahl an Baumarten auf der Erde

Wie viele Arten die Erde bevölkern, ist eine der grundlegendsten Fragen der Ökologie. Sie ist noch immer ungelöst, selbst bei bislang gut untersuchten Lebensformen wie Bäumen. Nun haben Forschende aus aller Welt unter Beteiligung von Martin Herold vom Deutschen GeoForschungsZentrum Potsdam (GFZ) im Fachmagazin PNAS ihre Daten zusammengetragen und eine neue Schätzung für die Anzahl der Baumarten vorgelegt – auf biologischer, kontinentaler und globaler Skala. Den neuen Schätzungen zufolge gibt es auf der Erde rund 73.300 Baumarten, 14 Prozent mehr als bislang angenommen. Etwa 9.000 davon müssten noch entdeckt werden, 40 Prozent davon – so die Erwartung der Forschenden – in Südamerika. Nicht nur ein Drittel der bislang bekannten, auch die meisten unentdeckten Arten seien selten, nur auf bestimmten Kontinenten verbreitet und tropisch oder subtropisch. Die Schätzung der Anzahl der Baumarten ist von grundlegener Bedeutung für unser Verständnis vom Funktionieren von Ökosystemen und für die Optimierung und Priorisierung von Waldschutzmaßnahmen auf der ganzen Welt.

Quelle: GFZ

Weiterlesen
News · Forschungsergebnis

Wie Pflanzen Polyspermie verhindern

Eine Arabidopsis-Blüte mit teilweise freigelegten Samenanlagen (links). Die Bildmitte entspricht dem markierten Ausschnitt - Pollenschläuche im Transmissionsgewebe. Jeweils ein Pollenschlauch wächst zur Samenanlage. Rechts die molekularen Zusammenhänge. Aufnahme und (C): Dr. Bleckmann, UR

Forschende aus China, USA und Regensburg schilderten vor kurzem im Fachmagazin Science den molekularen Mechanismus, wie die Senfpflanze Arabidopsis verhindert, dass eine Samenanlage von mehreren Pollenschläuchen befruchtet wird. Das ist wichtig, denn wenn mehr als ein Pollenschlauch in eine Samenanlage wächst, werden Eizelle und Zentralzelle mehrfach befruchtet (Polyspermie) und die anschließende Samenentwicklung stoppt, was zu Ernteverlusten führt. „Insbesondere durch die seit über acht Jahren sehr enge Zusammenarbeit mit dem Qu-Labor an der Peking Universität konnten wir jetzt die molekularen Mechanismen entschlüsseln, die dazu führen, dass nur genau ein Pollenschlauch in jede Samenanlage geleitet wird“, erläutert Zellbiologe Professor Dr. Thomas Dresselhaus von der Universität Regensburg (UR). Das Team konnte zeigen, dass das Auswachsen des ersten Pollenschlauches eine Signalkaskade in Gang setzt, die zur Blockade führt und das Auswachsen weiterer Pollenschläuche verhindert. „Auch wenn ich mich über den erneuten Forschungserfolg sehr freue“, gibt Prof. Dresselhaus auch zu bedenken, „so bin ich doch über die Jahre der Kooperation auch zunehmend beunruhigt. Gerade mit Blick nach China lässt sich erkennen, wie dort mit zunehmenden Investitionen in Forschungsinfrastruktur und Ausbildung bei gleichzeitig niedrigerem Verwaltungsaufwand effizienter gearbeitet werden kann. Diese Entwicklung gefährdet auf Dauer unsere Konkurrenzfähigkeit im internationalen Wettbewerb“, warnt Dresselhaus.

Quelle: UR

Weiterlesen